Кампус MGCom / Урок 10 — аукцион
10.1. Аукцион в Директе на поиске (VCG-аукцион)
Ранее были кратко разобраны принципы работы аукциона в контекстной рекламе в целом
В этом уроке будут подробнее разобраны аукционы Директа и Ads. Давайте разберемся, как работает аукцион на поиске в Яндекс.Директе.

Поисковая реклама в Яндексе делится на спецразмещение (сейчас называется «премиум показы») и гарантию («остальные показы»).
Первые четыре (иногда меньше) места в поисковой выдаче. Проще говоря, верхняя часть страницы поиска
Спецрезмещение
Гарантия
Последние четыре (иногда меньше) места в поисковой выдаче, т. е. нижняя часть страницы поиска. Иногда в гарантии на первой позиции дублируется реклама из первого спеца, а потом уже идут 4 места гарантии. Таким образом в гарантии суммарно можно увидеть 5 объявлений.
Однако для определения эффективности для рекламодателя той или иной позиции показа объявления Яндекс использует понятие объема трафика.
Объем трафика — это некая условная величина, придуманная Яндексом, прямо пропорциональная кликабельности позиции показа объявления. От 0 до 100+
Итак, есть спецразмещение и гарантия. И в спецразмещении, и в гарантии есть 1-ое, 2-ое, 3-ье, 4-ое место.

Что касается спецразмещения, то объявление на 1-ом месте может быть быть показано с обычном виде (4 быстрых ссылки без описаний) или в расширенном виде (4−8 быстрых ссылок со всеми описаниями, что существенно увеличивает объявление визуально).

Каждая позиция имеет разную кликабельность, т. е. потенциально способна привлечь разное количество трафика.

В случае, если на странице поиска будут показаны все 8 рекламных объявлений, то трафик и позиции будут соотноситься примерно следующим образом
Не всегда объем трафика, например, 100 или 85 означает, что это 1 или 2 позиция в спеце
Важно
На объём влияет не только позиция показа, но еще количество рекламодателей в блоке и форматы их объявлений. Поэтому одна и та же позиция показа на поиске может давать разные объёмы и для рекламодателя позиции ниже могут быть более эффективными. Система подстраивается под предпочтения пользователей: кто-то чаще переходит по объявлению снизу, игнорируя спецразмещение и для такого пользователя самая лучшая позиция — показаться внизу. Отсюда может быть ситуация, когда объем трафика 100, а позиция показа находится в гарантии.

Для того чтобы определить, кто попадет в поисковую выдачу, какой он будет получать объем трафика и сколько он за это заплатит в Яндексе используется VCG-аукцион (аукцион Викри-Кларка-Гровса).

Для дальнейшего объяснения нужно ввести некоторые понятия.
Ставка (max cpc, макс. цена за клик) — это цена, которую указывает рекламодатель (или автостратегия) для участия в аукционе и покупки определенного объема трафика (от 0 до 100+).

Когда речь идет о поиске, то ставка существует на уровне ключей (обычные кампании) или условий нацеливания (DSA-кампании). В случае ручного управления ставками подразумевается, что это максимальная цена, которую рекламодатель готов заплатить за клик.
Списываемая цена — это фактическая цена, которую платит рекламодатель за клик по его объявлению. Она определяется системой на основании коэффициента качества, CTR, покупаемого объема трафика и ставки.
CPC — это средняя цена за клик. Показатель, который показывает вам, столько вы в среднем платите за клик. Этот показатель можно смотреть на любом уровне (аккаунт, кампания, группа), а не только на уровне каких-то таргетингов (ключей или условий нацеливания).
Вот скриншот из кабинета Директа
Ставка > Списываемая цена
Ставка ≠ Списываемая цена ≠ CPC
Вывод, который можно сделать
Почему ставка выше списываемой цены?
Аукцион проходит в 2 этапа

Первый этап: определение рекламных объявлений, которые будут показаны над и под результатами поиска и позиций их показа. Это ранжирование происходит на основании:
  1. Вашей ставки
  2. Коэффициента качества объявления
  3. Коэффициента кликабельности объявления (CTR)
Коэффициент качества объявления — это показатель, который рассчитывается в Яндекс. Директ автоматически для каждого объявления в рекламной кампании на основании ряда показателей, таких как: релевантность объявления запросу, статистика по объявлению, релевантность посадочной страницы. Самому его посчитать нельзя.
Коэффициент кликабельности объявления (CTR) — это показатель, который показывает, как часто кликают по рекламе. Вычисляется путем деления кликов на показы.

Грубо говоря, в поисковую выдачу попадут рекламодателями с самыми качественными объявлениями и с самыми высокими ставками


Второй этап: определение списываемой цены для каждого рекламодателя, который попал в выдачу. Этот расчет происходит по специальной формуле на основании:

  1. Ставок ваших конкурентов
  2. Коэффициента качества объявления
  3. Коэффициента кликабельности объявления (CTR)
  4. Коэффициента кликабельности позиций показа (не пугать c CTR)
Коэффициент кликабельности позиций показа — это показатель, который отражает объем трафика, который получит рекламодатель показываясь на определенной позиции, с учетом количества конкурентов и формата их объявлений. Вычисляет путем деления объема трафика на 100. Например, коэффициент для объема 100 = 1, для объема 85 = 0,85.
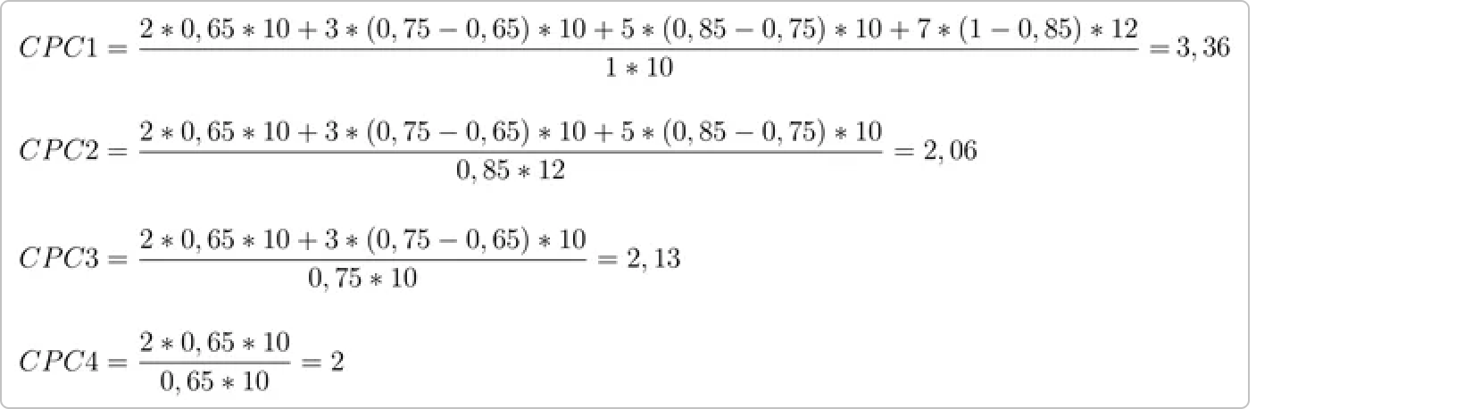
Вот формула по которой рассчитывается списываемая цена за клик при участии в аукционе за показ в блоке (спец или гарантия) пяти рекламодателей (один из них не попадет в выдачу)
CPC1, CPC2, CPC3, CPC4 (только в данном случае, просто Яндекс как обычно любит путать термины) — это списываемая цена для рекламодателя на 1-ой, 2-ой, 3-ей, 4-ой позиции.

X1, X2, X3, X4 — это коэффициенты кликабельности позиций показа для 1-ой, 2-ой, 3-ей, 4-ой позиции.

Bid2, Bid3, Bid4, Bid5 — это ставки 2-го, 3-го, 4-го и 5-го рекламодателя.

CTR1, CTR2, CTR3, CTR4, CTR5 — это коэффициенты кликабельности пяти рекламодателей.

Обратите внимание, что в формуле CPC1 нет Bid1, CPC2 нет Bid2 и т. д. Т. е. как уже было сказано при расчете списываемой цены учитываются ставки конкурентов, а не ваша.

Также в этой формуле почему-то не учитывается коэффициент качества объявления, хотя было заявлено что на списываемую цену он также влияет. Как именно он учитывается (если учитывается вообще) знает только сам Яндекс.

Вот как будет выглядеть формула в ситуации, когда 5 рекламодателей участвуют в аукционе за 4 места в спеце (пример из справки)
X1=1, X2=0,85, X3=0,75, X4=0,65.

Bid2=7, Bid3=5, Bid4=3, Bid5=2

CTR1=CTR3=CTR4=CTR5=10%, CTR2=12%

Обратите внимание на очень интересный момент: из-за того, что у второго рекламодателя CTR выше, чем у третьего, он платит 2,06 рубля за клик, находясь на втором спеце, в то время как третий рекламодатель платит 2,13 рубля за клик, находясь на третьем спеце. На этом моменте должны уйти последние сомнения, что нужно качественно писать объявления.

Также видно, что списываемая цена обычно будет ниже, чем ваша ставка. Возможно даже кратно ниже. Как видно из иллюстрации, первый рекламодатель заплатит за клик лишь 3,36 руб, хотя его ставка 10 руб. (на скрине этого нет, но в своем объяснении Яндекс это указывает).

Еще один момент: в данных расчетах Яндекс делает пометку, что коэффициенты качества объявления у рекламодателей в примерах совпадают. Как они конкретно влияют на списываемую цену, если они не совпадают — не ясно. Но это мы уже проговорили.
Почему ставка и списываемая цена не равны СРС?
Ставка и списываемая цена — это понятия аукциона. В кабинете вы можете увидеть данные по текущему аукциону, например, предполагаемую ставку и списываемую цену за определенный объем трафика для какой-то фразы.

Однако через час эта списываемая цена уже будет другой. Да и за этот час она может измениться несколько раз. Да и эти данные аукциона Яндекс дает не в реальном времени, а с задержкой, т.к. чисто технически невозможно это все грузить в кабинеты каждую секунду. А аукцион-то работает нон-стоп.

А CPC — это уже усредненная статистика, просто средняя цена клика. Все расходы деленные на все клики.

Вот и все. Просто это разные вещи и неудивительно, что они разные. И чем дольше период просмотра статистики, тем сильнее может быть разница. Аукцион — это такая вещь, которая имеет тенденцию на разогрев. И не только в определенное время суток. А в целом.

Ставка и списываемая цена для определенного ключа и для определенного объема трафика, например для ключа «купить лыжи» и для объема 100, может быть 100 р. и 20 р. летом, а затем 120 и 40 р. осенью. И если вы смотрите CPC за 3 месяца и пытаетесь сравнить его с текущими данными аукциона — это бессмысленно.

Но на небольшом отрезке времени эти вещи более менее одного порядка, если говорить о величине. И CPC естественно ближе к списываемой цене, нежели к ставке. Еще раз привожу картинку. CPC тут за 30 дней. Аукцион актуальный на момент скриншота.
Ничего не понял, что в итоге нужно знать?

Еще раз кратко. Нужно знать

Что такое ставка, списываемая цена, CPC и не путать их
Что такое объем трафика
Что списываемая цена почти всегда ниже ставки и зависит от ставок конкурентов, показателя качества вашего объявления, CTR и коэффициента кликабельности позиции показа
Почти всегда ниже ставки, потому что Яндекс предупреждает:
«Иногда списываемая цена может быть размером с вашу ставку»

Поэтому если вы видите аукцион вида:
Ставка — 1000 руб., Прогноз трафика — 100, Списываемая цена — 40 руб., то не спешите радоваться и имейте в виду, что Яндекс имеет полное право списать с вас 1000 руб. за клик, если вы влепите такую ставку. А такие аукционы по популярным широким ключам не редкость.

Чтобы поставить ставки на ключ, нужно:
  1. Зайти в кабинет или коммандер
  2. Там будет доступна информация о текущем аукционе
  3. Вы увидите ставку, которую нужно поставить, чтобы претендовать на определенный объем (на первом скриншоте выбран объем 99,81)
  4. Вы увидите списываемую цену, которая прогнозируется исходя из ваших данных и данных ваших конкурентов
  5. Выбираете необходимый объем трафика
  6. Ставите предложенную ставку
А если я хочу узнать подробнее?
Добро пожаловать в великую и ужасную справку Директа
10.2. Аукцион в Директе в сети (GSP-аукцион) →
Читать дальше
КАМПУС mgcom / Урок 10 — аукцион